flowchart TD
A[Battery drains too fast] --> B{When is power high?}
B -->|Always high| C{Sleep enabled?}
C -->|No| D[Implement sleep modes:<br/>Deep sleep between samples<br/>Light sleep during idle<br/>Wake on interrupt]
C -->|Yes| E{Peripherals off?}
E -->|Always on| F[Disable unused:<br/>Turn off LEDs<br/>Power down sensors idle<br/>Disable USB if not needed]
B -->|High during inference| G{Inference frequency?}
G -->|Very frequent| H[Reduce rate:<br/>1 Hz instead of 10 Hz<br/>On-demand vs continuous<br/>Motion trigger activation]
G -->|Already low| I[Optimize model:<br/>Smaller architecture<br/>INT8 quantization<br/>Prune weights]
B -->|High during wireless| J[Optimize radio:<br/>Connect only when needed<br/>Reduce TX power<br/>Batch transmissions<br/>Use BLE not WiFi]
style A fill:#ff6b6b
style D fill:#4ecdc4
style F fill:#4ecdc4
style H fill:#4ecdc4
style I fill:#4ecdc4
style J fill:#4ecdc4
LAB15: Energy Optimization
Power-Efficient Edge Computing
For detailed theoretical foundations, mathematical proofs, and algorithm derivations, see Chapter 15: Energy-Aware Edge Computing and Optimization in the PDF textbook.
The PDF chapter includes: - Complete power consumption models for MCUs and peripherals - Detailed mathematical derivations of battery life calculations - In-depth DVFS (Dynamic Voltage Frequency Scaling) theory - Comprehensive duty cycle optimization algorithms - Theoretical analysis of early-exit networks and adaptive inference
Learning Objectives
By the end of this lab you should be able to:
- Estimate the energy consumption and battery life of an edge ML system from simple power models
- Measure real power and energy on development boards using USB meters or current sensors
- Apply quantization, duty cycling, and early-exit models to trade accuracy for energy savings
- Identify whether radio, CPU, sensors, or memory dominate the energy budget in a given design
Theory Summary
The Energy Equation
For battery-powered edge devices, energy is the ultimate constraint. A model achieving 99% accuracy but draining the battery in 2 hours is useless for wearables that need to last a week.
Three fundamental equations govern battery life:
- Power (mW) = Voltage (V) × Current (mA)
- Energy (mWh) = Power (mW) × Time (hours)
- Battery Life (hours) = Capacity (mAh) / Average Current (mA)
Example: A 2500 mAh LiPo battery at 3.7V contains 2500 × 3.7 = 9,250 mWh of energy. If your device draws an average of 10 mA, battery life is 2500 / 10 = 250 hours (10.4 days).
Where Power Goes: Component Breakdown
The biggest surprise for edge ML newcomers: the radio often dominates the power budget, not ML inference.
Typical power consumption for IoT devices: - WiFi transmission: 200-400 mW (dominates!) - BLE transmission: 10-50 mW (10× less than WiFi) - CPU active (inference): 50-200 mW - CPU idle: 1-10 mW - Deep sleep: 0.01-0.1 mW (1000× less than active) - Sensors: 0.1-10 mW - Display: 50-200 mW
A single WiFi transmission burst can use more energy than 1,000 ML inferences. Therefore, reducing transmission frequency by 2× often saves more energy than halving inference time.
Quantization and Energy Efficiency
INT8 inference is 10-18× more energy-efficient than FP32:
- Simpler operations: INT8 multiply-accumulate uses less energy than floating-point
- Smaller memory footprint: 4× smaller model = 4× less memory traffic
- Faster memory access: Smaller data fits in fast, low-power SRAM instead of expensive DRAM
Memory access energy costs (approximate): - DRAM read: 640 pJ (picojoules) - SRAM read: 5 pJ (128× less!) - INT8 MAC: 0.2 pJ - FP32 MAC: 3.7 pJ
This is why quantization (from LAB03) is critical not just for speed, but for battery life.
Duty Cycling: The Ultimate Energy Saver
Spending 99% of time in deep sleep can extend battery life from hours to months.
Example calculation: - Deep sleep: 0.01 mA (99% of time) - Active + inference: 80 mA (1% of time) - Average current: (0.01 × 0.99) + (80 × 0.01) = 0.0099 + 0.8 = 0.81 mA - Battery life with 2500 mAh: 2500 / 0.81 = 3,086 hours (128 days)
Without sleep (constant 80 mA): 2500 / 80 = 31 hours (1.3 days). Sleep modes provide a 100× improvement!
Key Concepts at a Glance
Common Pitfalls
- Optimizing the Wrong Component
- Don’t obsess over inference efficiency while ignoring the radio. Profile your entire power budget first. Often, reducing WiFi transmission frequency 2× saves more energy than halving inference time.
- Forgetting Sleep Mode Overhead
- ESP32 deep sleep takes ~400 ms to wake up. If you wake every 100 ms, you spend more time waking than sleeping! Light sleep (800 μA, 200 μs wake) is better for frequent wakes; deep sleep for long intervals (>10 seconds).
- Ignoring Battery Aging
- A 2500 mAh battery rated at 25°C degrades to ~2000 mAh after 1 year, and loses 50% capacity at 0°C. Always include 50%+ design margin in energy budgets.
- Using Full YOLO on Battery Power
- Full YOLOv3 at 45 mJ/inference × 1 FPS = 45 mW average power. Tiny-YOLO at 1.2 mJ × 4 FPS = 4.8 mW (9× less). Choose models based on energy/accuracy, not just accuracy.
- Not Measuring Real Devices
- Datasheets are optimistic. Actual current draw varies 2-3× due to temperature, batch variation, and peripheral overhead. Always measure with INA219 or USB power meter before finalizing designs.
Quick Reference
Battery Life Calculation
class EnergyBudgetCalculator:
def __init__(self, battery_mAh, voltage=3.7):
self.battery_mWh = battery_mAh * voltage
def add_component(self, name, power_mW, duty_cycle):
# duty_cycle: fraction of time active (0.01 = 1%)
self.components.append({
'name': name,
'effective_power': power_mW * duty_cycle
})
def calculate_life(self):
total_power_mW = sum(c['effective_power'] for c in self.components)
life_hours = self.battery_mWh / total_power_mW
return life_hours / 24 # Convert to daysESP32 Deep Sleep
#include <esp_sleep.h>
// Wake every 10 minutes
esp_sleep_enable_timer_wakeup(600 * 1000000ULL); // microseconds
// Enter deep sleep (execution ends here; device resets on wake)
esp_deep_sleep_start();
// Use RTC memory to preserve state across sleep
RTC_DATA_ATTR int boot_count = 0; // Survives deep sleepSleep Mode Comparison (ESP32)
| Mode | Power | Wake Time | State Preserved? | Use When |
|---|---|---|---|---|
| Active | 80,000 μA | — | Yes | Inference, radio |
| Light Sleep | 800 μA | 200 μs | Yes | Frequent wakes (<1 sec) |
| Deep Sleep | 10 μA | 400,000 μs | No (RTC only) | Long sleep (>10 sec) |
| Hibernation | 2.5 μA | 600,000 μs | No | Ultra-low power |
Early-Exit Network Energy Savings
If 60% of samples exit at Exit 1 (30% energy) and 30% at Exit 2 (60% energy):
\[\text{Average Energy} = 0.6 \times 0.3 + 0.3 \times 0.6 + 0.1 \times 1.0 = 0.46\]
Result: 54% energy savings compared to always running the full model.
Power Measurement Tools
INA219 Current Sensor (Arduino/Pi):
#include <Adafruit_INA219.h>
Adafruit_INA219 ina219;
void loop() {
float current_mA = ina219.getCurrent_mA();
float power_mW = ina219.getPower_mW();
// Log and accumulate for energy calculation
}USB Power Meters: YZXstudio ZY1276 (high accuracy, logging), UM34C (Bluetooth graphs), AVHzY CT-3 (affordable)
Model Energy Efficiency
| Model | Params | Energy/Inference | Accuracy | Efficiency (Acc/mJ) |
|---|---|---|---|---|
| Tiny CNN | 8K | 0.45 mJ | 96.8% | 215 |
| Small CNN | 32K | 1.2 mJ | 98.1% | 82 |
| MobileNet | 125K | 3.5 mJ | 98.9% | 28 |
| ResNet-18 | 11M | 45 mJ | 99.2% | 2.2 |
For battery-powered devices, optimize Accuracy per millijoule, not just accuracy!
- Section 15.2: Component power breakdown (radio, CPU, sensors, memory)
- Section 15.3: Energy cost of ML operations (FP32, INT8, memory access)
- Section 15.4: Energy budget calculator and battery life estimation
- Section 15.5: Duty cycling implementation (light sleep, deep sleep, RTC memory)
- Section 15.6: Early-exit networks for adaptive energy-accuracy trade-offs
- Section 15.7: INA219 power measurement and USB meter usage
Practical Code Examples
INA219 Power Measurement (Python)
This example shows how to measure power consumption using the INA219 current sensor with Python (Raspberry Pi or similar).
import time
import board
import busio
from adafruit_ina219 import INA219
class PowerMonitor:
"""
Monitor power consumption using INA219 sensor
Hardware connections (Raspberry Pi):
- VCC → 3.3V or 5V
- GND → Ground
- SDA → GPIO 2 (SDA)
- SCL → GPIO 3 (SCL)
- VIN+ → Battery positive
- VIN- → Load positive
- Load GND → Battery GND
"""
def __init__(self, i2c_bus=None, shunt_ohms=0.1):
if i2c_bus is None:
i2c_bus = busio.I2C(board.SCL, board.SDA)
self.ina219 = INA219(i2c_bus)
self.measurements = []
def read_power(self):
"""Read current power values"""
bus_voltage = self.ina219.bus_voltage # Voltage on V- (Volts)
shunt_voltage = self.ina219.shunt_voltage # Voltage between V+ and V- (mV)
current = self.ina219.current # Current (mA)
power = self.ina219.power # Power consumption (mW)
return {
'voltage_V': bus_voltage,
'current_mA': current,
'power_mW': power,
'timestamp': time.time()
}
def log_power(self, duration_seconds, sample_rate_hz=10):
"""
Log power consumption over time
Args:
duration_seconds: How long to measure
sample_rate_hz: Samples per second
Returns:
List of measurements with statistics
"""
interval = 1.0 / sample_rate_hz
samples = int(duration_seconds * sample_rate_hz)
print(f"Logging power for {duration_seconds}s at {sample_rate_hz} Hz...")
print(f"{'Time (s)':<10} {'Voltage (V)':<12} {'Current (mA)':<12} {'Power (mW)'}")
print("-" * 50)
measurements = []
start_time = time.time()
for i in range(samples):
data = self.read_power()
measurements.append(data)
elapsed = data['timestamp'] - start_time
print(f"{elapsed:>8.2f} {data['voltage_V']:>10.3f} "
f"{data['current_mA']:>10.2f} {data['power_mW']:>10.2f}")
time.sleep(interval)
return self.calculate_statistics(measurements)
def calculate_statistics(self, measurements):
"""Calculate energy consumption statistics"""
if not measurements:
return None
currents = [m['current_mA'] for m in measurements]
powers = [m['power_mW'] for m in measurements]
voltages = [m['voltage_V'] for m in measurements]
duration_hours = (measurements[-1]['timestamp'] -
measurements[0]['timestamp']) / 3600
avg_current = sum(currents) / len(currents)
avg_power = sum(powers) / len(powers)
avg_voltage = sum(voltages) / len(voltages)
# Energy consumed during measurement
energy_mWh = avg_power * duration_hours
stats = {
'avg_voltage_V': avg_voltage,
'avg_current_mA': avg_current,
'avg_power_mW': avg_power,
'peak_current_mA': max(currents),
'peak_power_mW': max(powers),
'energy_consumed_mWh': energy_mWh,
'duration_seconds': measurements[-1]['timestamp'] - measurements[0]['timestamp']
}
return stats
def estimate_battery_life(self, battery_mAh, avg_current_mA):
"""
Estimate battery life in hours
Args:
battery_mAh: Battery capacity (e.g., 2500 for 2500mAh)
avg_current_mA: Average current draw
Returns:
Battery life in hours
"""
if avg_current_mA <= 0:
return float('inf')
hours = battery_mAh / avg_current_mA
return hours
# Example usage
if __name__ == "__main__":
monitor = PowerMonitor()
print("\n=== MEASURING ACTIVE MODE (10 seconds) ===")
active_stats = monitor.log_power(duration_seconds=10, sample_rate_hz=10)
print(f"\n=== STATISTICS ===")
print(f"Average Voltage: {active_stats['avg_voltage_V']:.3f} V")
print(f"Average Current: {active_stats['avg_current_mA']:.2f} mA")
print(f"Average Power: {active_stats['avg_power_mW']:.2f} mW")
print(f"Peak Current: {active_stats['peak_current_mA']:.2f} mA")
print(f"Energy Consumed: {active_stats['energy_consumed_mWh']:.4f} mWh")
print(f"\n=== BATTERY LIFE ESTIMATION ===")
battery_capacity = 2500 # mAh
life_hours = monitor.estimate_battery_life(battery_capacity,
active_stats['avg_current_mA'])
print(f"With {battery_capacity} mAh battery:")
print(f" Battery life: {life_hours:.1f} hours ({life_hours/24:.1f} days)")Expected Output:
Logging power for 10s at 10 Hz...
Time (s) Voltage (V) Current (mA) Power (mW)
--------------------------------------------------
0.10 3.712 82.34 305.52
0.21 3.715 81.89 304.18
0.31 3.714 83.12 308.75
...
=== STATISTICS ===
Average Voltage: 3.713 V
Average Current: 82.45 mA
Average Power: 306.21 mW
Peak Current: 95.23 mA
Energy Consumed: 0.8506 mWh
=== BATTERY LIFE ESTIMATION ===
With 2500 mAh battery:
Battery life: 30.3 hours (1.3 days)
ESP32 Dynamic Frequency Scaling
This Arduino/ESP32 example shows how to dynamically adjust CPU frequency to save power during low-intensity tasks.
/**
* ESP32 Dynamic Frequency Scaling Example
*
* Demonstrates power savings by switching CPU frequency
* based on workload requirements
*/
#include <esp_pm.h>
#include <esp_wifi.h>
// CPU frequency options
typedef enum {
FREQ_240_MHZ = 240,
FREQ_160_MHZ = 160,
FREQ_80_MHZ = 80,
FREQ_40_MHZ = 40,
FREQ_20_MHZ = 20,
FREQ_10_MHZ = 10
} cpu_freq_t;
class PowerManager {
public:
void setCpuFrequency(cpu_freq_t freq) {
setCpuFrequencyMhz(freq);
Serial.printf("CPU frequency set to %d MHz\n", freq);
}
void configurePowerManagement() {
// Configure automatic light sleep
esp_pm_config_esp32_t pm_config;
pm_config.max_freq_mhz = 240;
pm_config.min_freq_mhz = 10;
pm_config.light_sleep_enable = true;
esp_pm_configure(&pm_config);
Serial.println("Power management configured");
}
void enterLightSleep(uint32_t duration_ms) {
Serial.printf("Entering light sleep for %d ms...\n", duration_ms);
// Configure timer wakeup
esp_sleep_enable_timer_wakeup(duration_ms * 1000); // microseconds
// Enter light sleep (returns after wakeup)
esp_light_sleep_start();
Serial.println("Woke from light sleep");
}
void enterDeepSleep(uint32_t duration_seconds) {
Serial.printf("Entering deep sleep for %d seconds...\n", duration_seconds);
Serial.flush();
// Configure timer wakeup
esp_sleep_enable_timer_wakeup(duration_seconds * 1000000ULL);
// Enter deep sleep (device resets on wakeup!)
esp_deep_sleep_start();
}
void printCurrentPowerState() {
uint32_t freq = getCpuFrequencyMhz();
Serial.printf("Current CPU frequency: %d MHz\n", freq);
}
};
// Global variables
PowerManager powerMgr;
RTC_DATA_ATTR int boot_count = 0; // Survives deep sleep
void setup() {
Serial.begin(115200);
delay(100);
boot_count++;
Serial.printf("\n=== Boot #%d ===\n", boot_count);
// Configure power management
powerMgr.configurePowerManagement();
}
void loop() {
Serial.println("\n=== Frequency Scaling Demo ===");
// High-performance task (ML inference)
Serial.println("\n[Task 1: ML Inference - High Performance]");
powerMgr.setCpuFrequency(FREQ_240_MHZ);
runMLInference(); // Your ML model inference here
delay(1000);
// Medium task (data processing)
Serial.println("\n[Task 2: Data Processing - Medium Performance]");
powerMgr.setCpuFrequency(FREQ_80_MHZ);
processData(); // Your data processing here
delay(1000);
// Low-power task (sensor reading)
Serial.println("\n[Task 3: Sensor Reading - Low Power]");
powerMgr.setCpuFrequency(FREQ_20_MHZ);
readSensors(); // Your sensor reading here
delay(1000);
// Idle period - use light sleep
Serial.println("\n[Task 4: Idle Period - Light Sleep]");
powerMgr.enterLightSleep(5000); // 5 seconds
// Long idle - use deep sleep (uncomment to test)
// Serial.println("\n[Task 5: Long Idle - Deep Sleep]");
// powerMgr.enterDeepSleep(60); // 60 seconds (device resets after!)
delay(2000);
}
void runMLInference() {
// Placeholder for ML inference
Serial.println("Running inference at 240 MHz...");
unsigned long start = millis();
// Simulate compute-intensive work
volatile float result = 0;
for (int i = 0; i < 1000000; i++) {
result += sqrt(i);
}
unsigned long duration = millis() - start;
Serial.printf("Inference completed in %lu ms\n", duration);
}
void processData() {
Serial.println("Processing data at 80 MHz...");
// Your data processing code
delay(500);
}
void readSensors() {
Serial.println("Reading sensors at 20 MHz...");
// Your sensor reading code
delay(200);
}Power Consumption at Different Frequencies (ESP32):
CPU Frequency Active Power Use Case
240 MHz ~160 mW ML inference, video processing
160 MHz ~110 mW Audio processing, complex tasks
80 MHz ~70 mW Data processing, communications
40 MHz ~50 mW Sensor reading, simple tasks
Light Sleep ~3 mW Short idle periods (< 1 second)
Deep Sleep ~0.04 mW Long idle periods (> 10 seconds)
Energy Savings Example: - Naive: 240 MHz continuously = 160 mW - Optimized: 240 MHz (10%) + 80 MHz (20%) + 20 MHz (70%) = 16 + 14 + 35 = 65 mW - Savings: 59% reduction in power consumption
Battery Life Calculator with Duty Cycles
This Python tool helps you model battery life for complex duty-cycled systems.
import numpy as np
import matplotlib.pyplot as plt
class EnergyBudgetCalculator:
"""
Calculate battery life for edge devices with multiple duty-cycled components
Example usage:
calc = EnergyBudgetCalculator(battery_mAh=2500, voltage=3.7)
calc.add_component('Deep Sleep', power_mW=0.04, duty_cycle=0.90)
calc.add_component('ML Inference', power_mW=250, duty_cycle=0.01)
calc.add_component('WiFi TX', power_mW=300, duty_cycle=0.001)
results = calc.calculate()
calc.print_report()
"""
def __init__(self, battery_mAh, voltage=3.7):
"""
Args:
battery_mAh: Battery capacity in milliamp-hours
voltage: Battery voltage (default 3.7V for LiPo)
"""
self.battery_mAh = battery_mAh
self.voltage = voltage
self.battery_mWh = battery_mAh * voltage
self.components = []
def add_component(self, name, power_mW, duty_cycle):
"""
Add a component to the energy budget
Args:
name: Component name (e.g., 'CPU Active', 'WiFi TX')
power_mW: Power consumption when active (milliwatts)
duty_cycle: Fraction of time active (0.01 = 1%)
"""
if not 0 <= duty_cycle <= 1:
raise ValueError(f"Duty cycle must be between 0 and 1, got {duty_cycle}")
effective_power = power_mW * duty_cycle
effective_current = (power_mW / self.voltage) * duty_cycle
self.components.append({
'name': name,
'power_mW': power_mW,
'duty_cycle': duty_cycle,
'effective_power_mW': effective_power,
'effective_current_mA': effective_current
})
def calculate(self):
"""Calculate total power consumption and battery life"""
if not self.components:
raise ValueError("No components added. Use add_component() first.")
total_power_mW = sum(c['effective_power_mW'] for c in self.components)
total_current_mA = sum(c['effective_current_mA'] for c in self.components)
if total_current_mA == 0:
battery_life_hours = float('inf')
else:
battery_life_hours = self.battery_mAh / total_current_mA
results = {
'total_power_mW': total_power_mW,
'total_current_mA': total_current_mA,
'battery_life_hours': battery_life_hours,
'battery_life_days': battery_life_hours / 24,
'battery_life_weeks': battery_life_hours / (24 * 7),
'components': self.components
}
return results
def print_report(self):
"""Print detailed energy budget report"""
results = self.calculate()
print("\n" + "="*80)
print(f"ENERGY BUDGET ANALYSIS")
print("="*80)
print(f"Battery: {self.battery_mAh} mAh @ {self.voltage} V = {self.battery_mWh:.1f} mWh")
print()
print(f"{'Component':<20} {'Power (mW)':<12} {'Duty Cycle':<12} {'Effective (mW)'}")
print("-"*80)
for c in results['components']:
duty_pct = c['duty_cycle'] * 100
print(f"{c['name']:<20} {c['power_mW']:>8.2f} "
f"{duty_pct:>8.2f}% {c['effective_power_mW']:>10.3f}")
print("-"*80)
print(f"{'TOTAL':<20} {'---':<12} {'---':<12} {results['total_power_mW']:>10.3f}")
print("="*80)
print(f"\nAverage Power: {results['total_power_mW']:.3f} mW")
print(f"Average Current: {results['total_current_mA']:.3f} mA")
print(f"\nBattery Life:")
print(f" Hours: {results['battery_life_hours']:.1f}")
print(f" Days: {results['battery_life_days']:.1f}")
print(f" Weeks: {results['battery_life_weeks']:.1f}")
print("="*80)
# Power breakdown
total = results['total_power_mW']
print(f"\nPower Distribution:")
for c in sorted(results['components'],
key=lambda x: x['effective_power_mW'],
reverse=True):
percentage = (c['effective_power_mW'] / total) * 100
print(f" {c['name']:<20} {percentage:>5.1f}%")
def plot_power_distribution(self):
"""Create visualization of power consumption"""
results = self.calculate()
fig, (ax1, ax2) = plt.subplots(1, 2, figsize=(14, 5))
# Pie chart of effective power
names = [c['name'] for c in results['components']]
powers = [c['effective_power_mW'] for c in results['components']]
ax1.pie(powers, labels=names, autopct='%1.1f%%', startangle=90)
ax1.set_title('Power Distribution (Effective)')
# Bar chart comparing active vs effective power
x = np.arange(len(names))
active_powers = [c['power_mW'] for c in results['components']]
width = 0.35
ax2.bar(x - width/2, active_powers, width, label='Active Power', alpha=0.8)
ax2.bar(x + width/2, powers, width, label='Effective Power', alpha=0.8)
ax2.set_xlabel('Component')
ax2.set_ylabel('Power (mW)')
ax2.set_title('Active vs Effective Power Consumption')
ax2.set_xticks(x)
ax2.set_xticklabels(names, rotation=45, ha='right')
ax2.legend()
ax2.set_yscale('log') # Log scale to show wide range
plt.tight_layout()
plt.savefig('energy_budget.png', dpi=150, bbox_inches='tight')
print("\nPlot saved to energy_budget.png")
# Example 1: Wearable fitness tracker
print("="*80)
print("EXAMPLE 1: Wearable Fitness Tracker")
print("="*80)
wearable = EnergyBudgetCalculator(battery_mAh=300, voltage=3.7)
wearable.add_component('Deep Sleep', power_mW=0.05, duty_cycle=0.98)
wearable.add_component('IMU Sensor Read', power_mW=5, duty_cycle=0.015)
wearable.add_component('ML Inference', power_mW=120, duty_cycle=0.004)
wearable.add_component('BLE Transmission', power_mW=25, duty_cycle=0.001)
wearable.print_report()
# Example 2: Environmental sensor node
print("\n" + "="*80)
print("EXAMPLE 2: Environmental Sensor Node (WiFi)")
print("="*80)
sensor_node = EnergyBudgetCalculator(battery_mAh=2500, voltage=3.7)
sensor_node.add_component('Deep Sleep', power_mW=0.04, duty_cycle=0.95)
sensor_node.add_component('Sensor Reading', power_mW=50, duty_cycle=0.03)
sensor_node.add_component('ML Processing', power_mW=250, duty_cycle=0.01)
sensor_node.add_component('WiFi Connect+TX', power_mW=350, duty_cycle=0.01)
sensor_node.print_report()
# Example 3: Comparison of design alternatives
print("\n" + "="*80)
print("EXAMPLE 3: Design Comparison - Always-On vs Duty-Cycled")
print("="*80)
# Naive design: always active at 80 MHz
naive = EnergyBudgetCalculator(battery_mAh=2500, voltage=3.7)
naive.add_component('CPU Active (80 MHz)', power_mW=70, duty_cycle=1.0)
naive.add_component('Sensor Active', power_mW=5, duty_cycle=1.0)
print("\nDesign A: Always-On (Naive)")
naive_results = naive.calculate()
print(f"Battery life: {naive_results['battery_life_days']:.1f} days")
# Optimized design: duty cycling
optimized = EnergyBudgetCalculator(battery_mAh=2500, voltage=3.7)
optimized.add_component('Deep Sleep', power_mW=0.04, duty_cycle=0.90)
optimized.add_component('CPU Active (240 MHz)', power_mW=160, duty_cycle=0.01)
optimized.add_component('CPU Medium (80 MHz)', power_mW=70, duty_cycle=0.05)
optimized.add_component('Sensor Active', power_mW=5, duty_cycle=0.04)
print("\nDesign B: Duty-Cycled (Optimized)")
opt_results = optimized.calculate()
print(f"Battery life: {opt_results['battery_life_days']:.1f} days")
improvement = opt_results['battery_life_days'] / naive_results['battery_life_days']
print(f"\nImprovement: {improvement:.1f}× longer battery life")Expected Output:
================================================================================
EXAMPLE 1: Wearable Fitness Tracker
================================================================================
Battery: 300 mAh @ 3.7 V = 1110.0 mWh
Component Power (mW) Duty Cycle Effective (mW)
--------------------------------------------------------------------------------
Deep Sleep 0.05 98.00% 0.049
IMU Sensor Read 5.00 1.50% 0.075
ML Inference 120.00 0.40% 0.480
BLE Transmission 25.00 0.10% 0.025
--------------------------------------------------------------------------------
TOTAL --- --- 0.629
================================================================================
Average Power: 0.629 mW
Average Current: 0.170 mA
Battery Life:
Hours: 1764.7
Days: 73.5
Weeks: 10.5
================================================================================
Practical Exercise: Optimize Your Device
Task: Optimize a battery-powered edge device to meet a 1-week runtime target.
Scenario: You have an ESP32-based environmental monitoring device with: - 2500 mAh LiPo battery (3.7V) - Temperature/humidity sensor (DHT22) - ML-based anomaly detection model - WiFi data transmission to cloud
Baseline Design: - CPU always on at 240 MHz: 160 mW - Sensor read every 1 second: 5 mW - ML inference every 10 seconds: 250 mW per inference (100 ms duration) - WiFi transmission every minute: 350 mW per TX (500 ms duration)
Calculate baseline battery life:
baseline = EnergyBudgetCalculator(battery_mAh=2500, voltage=3.7)
baseline.add_component('CPU Active', power_mW=160, duty_cycle=1.0)
baseline.add_component('Sensor', power_mW=5, duty_cycle=1.0)
baseline.add_component('ML Inference', power_mW=250, duty_cycle=0.01) # 100ms/10s
baseline.add_component('WiFi TX', power_mW=350, duty_cycle=0.0083) # 500ms/60s
baseline.print_report()Your Challenge: Redesign the system to last 7 days minimum using: 1. Deep sleep between sensor readings 2. Reduced CPU frequency when possible 3. Reduced transmission frequency (batch data) 4. Use INT8 quantized model (3× faster inference)
Hints: - Deep sleep: 0.04 mW - Sensor reading: 200 ms at 20 MHz (50 mW) - ML inference with INT8: 33 ms at 240 MHz (250 mW) - Batch 10 readings, transmit every 10 minutes
Solution skeleton:
optimized = EnergyBudgetCalculator(battery_mAh=2500, voltage=3.7)
# Your optimized components here
# optimized.add_component(...)
optimized.print_report()Target: Achieve >168 hours (7 days) battery life.
Interactive Notebook
The notebook below contains runnable code for all Level 1 activities.
Three-Tier Activities
Environment: local Jupyter or Colab, no hardware required.
Suggested workflow:
- Use the
EnergyBudgetCalculatorfrom the notebook to model a few deployment scenarios (e.g., wearables, environmental sensor nodes, camera traps). - Plug in realistic component powers and duty cycles for:
- MCU sleep vs active
- ML inference (Float32 vs Int8)
- Radio transmissions (WiFi vs BLE vs “no radio”)
- For at least one model from LAB03/04/10, estimate:
- energy per inference
- achievable battery life for different sampling/communication schedules.
- Compare different design options (e.g., send raw data, send features, send only anomalies) and record which meet a 1‑week or 1‑month battery target.
Here you connect your abstract models to real measurements on a development board (laptop/Pi environment plus power tool).
- Choose a board (e.g., ESP32 or Nano 33 BLE) and a workload from earlier labs:
- a simple ML inference loop (LAB04 KWS or LAB10 EMG)
- or a streaming/ingestion pipeline from LAB12/13.
- Use a USB power meter or INA219 + Arduino/Pi to measure:
- idle/sleep current
- active current during ML inference
- current during radio transmissions (if applicable).
- From these measurements, compute:
- average current for several candidate duty cycles
- estimated battery life for a chosen battery capacity.
- Compare the measured values with your Level 1 calculator outputs and explain any discrepancies (e.g., overheads, temperature, measurement noise).
Now implement a full energy‑optimized deployment on a battery‑powered device.
- Implement deep sleep + wake‑on‑timer (or related low‑power mode) as described in the chapter for your chosen board.
- Integrate:
- a quantized model (from LAB03/04/10)
- an early‑exit strategy or reduced‑rate inference for “easy” periods
- a communication policy that minimises radio usage (e.g., batching, anomaly‑only reporting).
- Power the device from a real battery (where possible) and log:
- how often it wakes, infers, and transmits
- average current over several hours
- Use those logs plus your battery model to project realistic lifetime, and compare against naive designs (no sleep, no quantization).
Connect this back to LAB11: use profiling tools to check that energy savings do not introduce unacceptable latency or jitter in your application.
Visual Troubleshooting
Power Consumption Too High
For complete troubleshooting flowcharts, see:
Try It Yourself: Executable Python Examples
Below are interactive Python examples you can run directly in this Quarto document to explore energy optimization techniques for edge devices.
Example 1: Energy Consumption Calculator
Code
import numpy as np
import matplotlib.pyplot as plt
import pandas as pd
class EnergyCalculator:
"""Calculate energy consumption and battery life for edge devices"""
def __init__(self, battery_mAh=2500, voltage=3.7):
self.battery_mAh = battery_mAh
self.voltage = voltage
self.battery_mWh = battery_mAh * voltage
def calculate_current(self, power_mW):
"""Convert power (mW) to current (mA) at operating voltage"""
return power_mW / self.voltage
def calculate_battery_life(self, avg_current_mA):
"""Calculate battery life in hours given average current draw"""
if avg_current_mA <= 0:
return float('inf')
return self.battery_mAh / avg_current_mA
def calculate_duty_cycle_current(self, active_current_mA, active_duty,
sleep_current_mA, sleep_duty):
"""Calculate average current with duty cycling"""
return (active_current_mA * active_duty) + (sleep_current_mA * sleep_duty)
# Example scenarios
scenarios = {
'Always-On (Naive)': {
'components': [
{'name': 'CPU @ 80MHz', 'power_mW': 70, 'duty': 1.0},
{'name': 'Sensor', 'power_mW': 5, 'duty': 1.0},
]
},
'Duty Cycled (1% active)': {
'components': [
{'name': 'Deep Sleep', 'power_mW': 0.04, 'duty': 0.99},
{'name': 'CPU @ 240MHz', 'power_mW': 160, 'duty': 0.01},
{'name': 'Sensor', 'power_mW': 5, 'duty': 0.01},
]
},
'WiFi Transmission': {
'components': [
{'name': 'Deep Sleep', 'power_mW': 0.04, 'duty': 0.95},
{'name': 'CPU Active', 'power_mW': 160, 'duty': 0.03},
{'name': 'Sensor Reading', 'power_mW': 5, 'duty': 0.02},
{'name': 'WiFi TX', 'power_mW': 350, 'duty': 0.01},
]
},
'BLE Transmission': {
'components': [
{'name': 'Deep Sleep', 'power_mW': 0.04, 'duty': 0.95},
{'name': 'CPU Active', 'power_mW': 160, 'duty': 0.03},
{'name': 'Sensor Reading', 'power_mW': 5, 'duty': 0.02},
{'name': 'BLE TX', 'power_mW': 25, 'duty': 0.005},
]
}
}
# Calculate energy for each scenario
calc = EnergyCalculator(battery_mAh=2500, voltage=3.7)
results = []
for scenario_name, scenario in scenarios.items():
total_power = sum(c['power_mW'] * c['duty'] for c in scenario['components'])
total_current = calc.calculate_current(total_power)
battery_life_hours = calc.calculate_battery_life(total_current)
battery_life_days = battery_life_hours / 24
results.append({
'Scenario': scenario_name,
'Avg Power (mW)': total_power,
'Avg Current (mA)': total_current,
'Battery Life (hours)': battery_life_hours,
'Battery Life (days)': battery_life_days
})
# Create DataFrame
df = pd.DataFrame(results)
# Visualization
fig, (ax1, ax2) = plt.subplots(1, 2, figsize=(14, 6))
# Plot 1: Power consumption comparison
colors = ['#e74c3c', '#3498db', '#f39c12', '#2ecc71']
ax1.barh(df['Scenario'], df['Avg Power (mW)'], color=colors)
ax1.set_xlabel('Average Power (mW)')
ax1.set_title('Power Consumption by Scenario')
ax1.set_xscale('log')
ax1.grid(True, alpha=0.3, axis='x')
# Annotate bars
for i, (power, current) in enumerate(zip(df['Avg Power (mW)'], df['Avg Current (mA)'])):
ax1.text(power, i, f' {power:.2f} mW\n ({current:.2f} mA)',
va='center', fontsize=9)
# Plot 2: Battery life comparison
ax2.barh(df['Scenario'], df['Battery Life (days)'], color=colors)
ax2.set_xlabel('Battery Life (days)')
ax2.set_title(f'Battery Life (2500 mAh @ 3.7V)')
ax2.grid(True, alpha=0.3, axis='x')
# Annotate bars
for i, (days, hours) in enumerate(zip(df['Battery Life (days)'],
df['Battery Life (hours)'])):
ax2.text(days, i, f' {days:.1f} days\n ({hours:.0f} hrs)',
va='center', fontsize=9)
plt.tight_layout()
plt.show()
# Print detailed results
print("Energy Consumption Analysis")
print("="*80)
print(f"Battery: {calc.battery_mAh} mAh @ {calc.voltage} V = {calc.battery_mWh:.1f} mWh\n")
print(df.to_string(index=False))
# Calculate improvements
baseline = df.iloc[0]['Battery Life (days)']
for i in range(1, len(df)):
improvement = df.iloc[i]['Battery Life (days)'] / baseline
print(f"\n{df.iloc[i]['Scenario']} vs Always-On: {improvement:.1f}× longer battery life")
# Energy savings insights
print("\n" + "="*80)
print("Key Insights:")
print(f" • Deep sleep reduces power by ~1000× (160mW → 0.04mW)")
print(f" • WiFi TX dominates energy budget even at 1% duty cycle")
print(f" • BLE uses 14× less power than WiFi (25mW vs 350mW)")
print(f" • Duty cycling extends battery life from days to months")
Energy Consumption Analysis
================================================================================
Battery: 2500 mAh @ 3.7 V = 9250.0 mWh
Scenario Avg Power (mW) Avg Current (mA) Battery Life (hours) Battery Life (days)
Always-On (Naive) 75.0000 20.270270 123.333333 5.138889
Duty Cycled (1% active) 1.6896 0.456649 5474.668561 228.111190
WiFi Transmission 8.4380 2.280541 1096.231334 45.676306
BLE Transmission 5.0630 1.368378 1826.980051 76.124169
Duty Cycled (1% active) vs Always-On: 44.4× longer battery life
WiFi Transmission vs Always-On: 8.9× longer battery life
BLE Transmission vs Always-On: 14.8× longer battery life
================================================================================
Key Insights:
• Deep sleep reduces power by ~1000× (160mW → 0.04mW)
• WiFi TX dominates energy budget even at 1% duty cycle
• BLE uses 14× less power than WiFi (25mW vs 350mW)
• Duty cycling extends battery life from days to months
Example 2: Duty Cycle Battery Life Estimator
Code
import numpy as np
import matplotlib.pyplot as plt
def estimate_battery_life(battery_mAh, voltage, wake_interval_sec,
active_time_sec, active_power_mW,
sleep_power_mW, num_days=30):
"""
Estimate battery life with periodic wake/sleep cycles
Args:
battery_mAh: Battery capacity in mAh
voltage: Operating voltage (V)
wake_interval_sec: Time between wake events (seconds)
active_time_sec: Duration of active period (seconds)
active_power_mW: Power during active period (mW)
sleep_power_mW: Power during sleep period (mW)
num_days: Number of days to simulate
Returns:
Dictionary with simulation results
"""
# Calculate duty cycles
sleep_time_sec = wake_interval_sec - active_time_sec
active_duty = active_time_sec / wake_interval_sec
sleep_duty = sleep_time_sec / wake_interval_sec
# Calculate average power and current
avg_power_mW = (active_power_mW * active_duty) + (sleep_power_mW * sleep_duty)
avg_current_mA = avg_power_mW / voltage
# Calculate battery life
battery_life_hours = battery_mAh / avg_current_mA
battery_life_days = battery_life_hours / 24
# Simulate energy consumption over time
total_seconds = num_days * 24 * 3600
time_points = np.arange(0, total_seconds, wake_interval_sec)
energy_consumed = []
cumulative_energy = 0
for t in time_points:
# Energy in one cycle (mWh)
cycle_energy = ((active_power_mW * active_time_sec) +
(sleep_power_mW * sleep_time_sec)) / 3600
cumulative_energy += cycle_energy
energy_consumed.append(cumulative_energy)
battery_capacity_mWh = battery_mAh * voltage
return {
'active_duty': active_duty,
'sleep_duty': sleep_duty,
'avg_power_mW': avg_power_mW,
'avg_current_mA': avg_current_mA,
'battery_life_hours': battery_life_hours,
'battery_life_days': battery_life_days,
'time_hours': time_points / 3600,
'energy_consumed_mWh': np.array(energy_consumed),
'battery_capacity_mWh': battery_capacity_mWh,
'wake_count': len(time_points)
}
# Scenario 1: Environmental sensor (wake every 60s)
sensor_60s = estimate_battery_life(
battery_mAh=2500,
voltage=3.7,
wake_interval_sec=60,
active_time_sec=2, # 2 seconds active
active_power_mW=200, # CPU + sensor + processing
sleep_power_mW=0.04, # Deep sleep
num_days=60
)
# Scenario 2: Wearable device (wake every 10s)
wearable_10s = estimate_battery_life(
battery_mAh=300, # Smaller battery
voltage=3.7,
wake_interval_sec=10,
active_time_sec=0.5, # 500ms active
active_power_mW=150,
sleep_power_mW=0.05,
num_days=14
)
# Scenario 3: Camera trap (wake every 5 min)
camera_5min = estimate_battery_life(
battery_mAh=5000, # Large battery
voltage=3.7,
wake_interval_sec=300,
active_time_sec=5, # 5 seconds active
active_power_mW=500, # Camera + processing
sleep_power_mW=0.03,
num_days=180
)
# Visualization
fig, ((ax1, ax2), (ax3, ax4)) = plt.subplots(2, 2, figsize=(14, 10))
# Plot 1: Duty cycle visualization
scenarios = ['Sensor\n(60s cycle)', 'Wearable\n(10s cycle)', 'Camera\n(5min cycle)']
active_duties = [sensor_60s['active_duty'], wearable_10s['active_duty'],
camera_5min['active_duty']]
sleep_duties = [sensor_60s['sleep_duty'], wearable_10s['sleep_duty'],
camera_5min['sleep_duty']]
x = np.arange(len(scenarios))
width = 0.35
ax1.bar(x - width/2, np.array(active_duties) * 100, width,
label='Active', color='#e74c3c')
ax1.bar(x + width/2, np.array(sleep_duties) * 100, width,
label='Sleep', color='#2ecc71')
ax1.set_ylabel('Duty Cycle (%)')
ax1.set_title('Active vs Sleep Duty Cycles')
ax1.set_xticks(x)
ax1.set_xticklabels(scenarios)
ax1.legend()
ax1.grid(True, alpha=0.3, axis='y')
# Add percentage labels
for i, (active, sleep) in enumerate(zip(active_duties, sleep_duties)):
ax1.text(i - width/2, active*100, f'{active*100:.1f}%',
ha='center', va='bottom', fontsize=9)
ax1.text(i + width/2, sleep*100, f'{sleep*100:.1f}%',
ha='center', va='bottom', fontsize=9)
# Plot 2: Average power consumption
avg_powers = [sensor_60s['avg_power_mW'], wearable_10s['avg_power_mW'],
camera_5min['avg_power_mW']]
ax2.bar(scenarios, avg_powers, color=['#3498db', '#9b59b6', '#f39c12'])
ax2.set_ylabel('Average Power (mW)')
ax2.set_title('Average Power Consumption')
ax2.grid(True, alpha=0.3, axis='y')
for i, power in enumerate(avg_powers):
ax2.text(i, power, f'{power:.2f} mW',
ha='center', va='bottom', fontsize=9)
# Plot 3: Battery discharge curves
ax3.plot(sensor_60s['time_hours'] / 24,
sensor_60s['energy_consumed_mWh'] / sensor_60s['battery_capacity_mWh'] * 100,
label='Sensor (2500mAh)', linewidth=2)
ax3.plot(wearable_10s['time_hours'] / 24,
wearable_10s['energy_consumed_mWh'] / wearable_10s['battery_capacity_mWh'] * 100,
label='Wearable (300mAh)', linewidth=2)
ax3.plot(camera_5min['time_hours'] / 24,
camera_5min['energy_consumed_mWh'] / camera_5min['battery_capacity_mWh'] * 100,
label='Camera (5000mAh)', linewidth=2)
ax3.axhline(y=100, color='r', linestyle='--', linewidth=1, alpha=0.5)
ax3.set_xlabel('Time (days)')
ax3.set_ylabel('Battery Charge (%)')
ax3.set_title('Battery Discharge Over Time')
ax3.legend()
ax3.grid(True, alpha=0.3)
ax3.set_xlim([0, max(sensor_60s['time_hours'][-1] / 24, 60)])
# Plot 4: Battery life comparison
battery_lives = [sensor_60s['battery_life_days'],
wearable_10s['battery_life_days'],
camera_5min['battery_life_days']]
colors_life = ['#3498db', '#9b59b6', '#f39c12']
bars = ax4.barh(scenarios, battery_lives, color=colors_life)
ax4.set_xlabel('Battery Life (days)')
ax4.set_title('Estimated Battery Life')
ax4.grid(True, alpha=0.3, axis='x')
for i, (life, current) in enumerate(zip(battery_lives,
[sensor_60s['avg_current_mA'],
wearable_10s['avg_current_mA'],
camera_5min['avg_current_mA']])):
ax4.text(life, i, f' {life:.0f} days\n ({current:.2f} mA avg)',
va='center', fontsize=9)
plt.tight_layout()
plt.show()
# Print detailed results
print("Duty Cycle Battery Life Analysis")
print("="*80)
for name, result, battery in [('Environmental Sensor', sensor_60s, 2500),
('Wearable Device', wearable_10s, 300),
('Camera Trap', camera_5min, 5000)]:
print(f"\n{name}:")
print(f" Battery: {battery} mAh @ 3.7V")
print(f" Active duty: {result['active_duty']*100:.2f}% | "
f"Sleep duty: {result['sleep_duty']*100:.2f}%")
print(f" Average power: {result['avg_power_mW']:.3f} mW")
print(f" Average current: {result['avg_current_mA']:.3f} mA")
print(f" Battery life: {result['battery_life_days']:.1f} days "
f"({result['battery_life_hours']:.0f} hours)")
print(f" Wake events: {result['wake_count']:,} over simulation period")
print("\n" + "="*80)
print("Optimization Tips:")
print(" • Increase wake interval to reduce active duty cycle")
print(" • Minimize active time through efficient code and quantization")
print(" • Use deep sleep between wake events (not light sleep)")
print(" • Batch sensor readings to reduce wake frequency")
Duty Cycle Battery Life Analysis
================================================================================
Environmental Sensor:
Battery: 2500 mAh @ 3.7V
Active duty: 3.33% | Sleep duty: 96.67%
Average power: 6.705 mW
Average current: 1.812 mA
Battery life: 57.5 days (1379 hours)
Wake events: 86,400 over simulation period
Wearable Device:
Battery: 300 mAh @ 3.7V
Active duty: 5.00% | Sleep duty: 95.00%
Average power: 7.548 mW
Average current: 2.040 mA
Battery life: 6.1 days (147 hours)
Wake events: 120,960 over simulation period
Camera Trap:
Battery: 5000 mAh @ 3.7V
Active duty: 1.67% | Sleep duty: 98.33%
Average power: 8.363 mW
Average current: 2.260 mA
Battery life: 92.2 days (2212 hours)
Wake events: 51,840 over simulation period
================================================================================
Optimization Tips:
• Increase wake interval to reduce active duty cycle
• Minimize active time through efficient code and quantization
• Use deep sleep between wake events (not light sleep)
• Batch sensor readings to reduce wake frequency
Example 3: Power Profile Comparison
Code
import numpy as np
import matplotlib.pyplot as plt
# Define power profiles for different operations
operations = {
'Deep Sleep': 0.04,
'Light Sleep': 0.8,
'CPU Idle (20MHz)': 10,
'CPU Active (80MHz)': 70,
'CPU Active (160MHz)': 110,
'CPU Active (240MHz)': 160,
'Sensor Read': 15,
'ML Inference (FP32)': 250,
'ML Inference (INT8)': 80,
'BLE Scan': 15,
'BLE Connected': 25,
'WiFi Scan': 150,
'WiFi Connected': 100,
'WiFi TX': 350,
}
# Create typical application profiles
profiles = {
'Naive Design': [
('CPU Active (240MHz)', 1.0),
],
'Frequency Optimized': [
('Deep Sleep', 0.70),
('CPU Active (80MHz)', 0.20),
('CPU Active (240MHz)', 0.10),
],
'Quantized Model': [
('Deep Sleep', 0.95),
('Sensor Read', 0.02),
('ML Inference (INT8)', 0.02),
('BLE TX', 0.01),
],
'Float32 Model': [
('Deep Sleep', 0.90),
('Sensor Read', 0.02),
('ML Inference (FP32)', 0.05),
('BLE TX', 0.03),
],
'WiFi IoT Node': [
('Deep Sleep', 0.95),
('CPU Active (80MHz)', 0.03),
('Sensor Read', 0.01),
('WiFi TX', 0.01),
],
'BLE Wearable': [
('Deep Sleep', 0.97),
('CPU Active (80MHz)', 0.02),
('Sensor Read', 0.005),
('BLE TX', 0.005),
],
}
# Calculate average power for each profile
profile_results = {}
for profile_name, components in profiles.items():
total_power = sum(operations[op] * duty for op, duty in components)
profile_results[profile_name] = {
'power_mW': total_power,
'current_mA': total_power / 3.7,
'battery_life_days': 2500 / (total_power / 3.7) / 24,
'components': components
}
# Visualization
fig = plt.figure(figsize=(14, 10))
gs = fig.add_gridspec(3, 2, hspace=0.3, wspace=0.3)
# Plot 1: Power consumption comparison
ax1 = fig.add_subplot(gs[0, :])
profile_names = list(profile_results.keys())
powers = [profile_results[p]['power_mW'] for p in profile_names]
colors = plt.cm.viridis(np.linspace(0.2, 0.9, len(profile_names)))
bars = ax1.bar(profile_names, powers, color=colors, edgecolor='black', linewidth=1.5)
ax1.set_ylabel('Average Power (mW)', fontsize=12)
ax1.set_title('Power Consumption by Design Profile', fontsize=14, fontweight='bold')
ax1.set_yscale('log')
ax1.grid(True, alpha=0.3, axis='y')
# Annotate bars
for bar, power, current in zip(bars, powers,
[profile_results[p]['current_mA'] for p in profile_names]):
height = bar.get_height()
ax1.text(bar.get_x() + bar.get_width()/2, height,
f'{power:.1f} mW\n({current:.2f} mA)',
ha='center', va='bottom', fontsize=9)
plt.setp(ax1.xaxis.get_majorticklabels(), rotation=15, ha='right')
# Plot 2: Battery life comparison
ax2 = fig.add_subplot(gs[1, 0])
battery_lives = [profile_results[p]['battery_life_days'] for p in profile_names]
bars = ax2.barh(profile_names, battery_lives, color=colors,
edgecolor='black', linewidth=1.5)
ax2.set_xlabel('Battery Life (days)', fontsize=12)
ax2.set_title('Battery Life (2500 mAh)', fontsize=12, fontweight='bold')
ax2.grid(True, alpha=0.3, axis='x')
for i, life in enumerate(battery_lives):
ax2.text(life, i, f' {life:.0f} days', va='center', fontsize=9)
# Plot 3: Component breakdown for quantized model
ax3 = fig.add_subplot(gs[1, 1])
quant_components = profiles['Quantized Model']
comp_names = [c[0] for c in quant_components]
comp_powers = [operations[c[0]] * c[1] for c in quant_components]
wedges, texts, autotexts = ax3.pie(comp_powers, labels=comp_names,
autopct='%1.1f%%', startangle=90,
colors=plt.cm.Set3(range(len(comp_names))))
ax3.set_title('Power Distribution:\nQuantized Model', fontsize=12, fontweight='bold')
# Plot 4: Comparison of ML inference methods
ax4 = fig.add_subplot(gs[2, 0])
ml_comparison = {
'FP32 Inference': operations['ML Inference (FP32)'],
'INT8 Inference': operations['ML Inference (INT8)'],
}
bars = ax4.bar(ml_comparison.keys(), ml_comparison.values(),
color=['#e74c3c', '#2ecc71'], edgecolor='black', linewidth=1.5)
ax4.set_ylabel('Power (mW)', fontsize=12)
ax4.set_title('ML Inference Power Consumption', fontsize=12, fontweight='bold')
ax4.grid(True, alpha=0.3, axis='y')
# Add savings annotation
savings = (1 - operations['ML Inference (INT8)'] / operations['ML Inference (FP32)']) * 100
ax4.text(0.5, max(ml_comparison.values()) * 0.8,
f'{savings:.0f}% Power Savings\nwith INT8 Quantization',
ha='center', fontsize=11, bbox=dict(boxstyle='round', facecolor='wheat', alpha=0.5))
for bar, (name, power) in zip(bars, ml_comparison.items()):
height = bar.get_height()
ax4.text(bar.get_x() + bar.get_width()/2, height,
f'{power:.0f} mW', ha='center', va='bottom', fontsize=10)
# Plot 5: Radio power comparison
ax5 = fig.add_subplot(gs[2, 1])
radio_comparison = {
'WiFi TX': operations['WiFi TX'],
'WiFi Connected': operations['WiFi Connected'],
'BLE Connected': operations['BLE Connected'],
'BLE Scan': operations['BLE Scan'],
}
bars = ax5.barh(list(radio_comparison.keys()), list(radio_comparison.values()),
color=['#e74c3c', '#f39c12', '#2ecc71', '#3498db'],
edgecolor='black', linewidth=1.5)
ax5.set_xlabel('Power (mW)', fontsize=12)
ax5.set_title('Radio Power Consumption', fontsize=12, fontweight='bold')
ax5.grid(True, alpha=0.3, axis='x')
for i, (name, power) in enumerate(radio_comparison.items()):
ax5.text(power, i, f' {power:.0f} mW', va='center', fontsize=9)
plt.tight_layout()
plt.show()
# Print detailed analysis
print("Power Profile Analysis")
print("="*80)
print(f"Battery: 2500 mAh @ 3.7V = 9250 mWh\n")
for profile_name in profile_names:
result = profile_results[profile_name]
print(f"{profile_name}:")
print(f" Average Power: {result['power_mW']:.2f} mW")
print(f" Average Current: {result['current_mA']:.2f} mA")
print(f" Battery Life: {result['battery_life_days']:.0f} days")
print(f" Components:")
for op_name, duty in result['components']:
power = operations[op_name] * duty
print(f" - {op_name}: {duty*100:.1f}% duty → {power:.3f} mW")
print()
# Calculate improvements
baseline = profile_results['Naive Design']['battery_life_days']
print("="*80)
print("Optimization Impact (vs Naive Design):")
for profile_name in profile_names[1:]:
improvement = profile_results[profile_name]['battery_life_days'] / baseline
print(f" {profile_name}: {improvement:.0f}× longer battery life")KeyError: 'BLE TX'
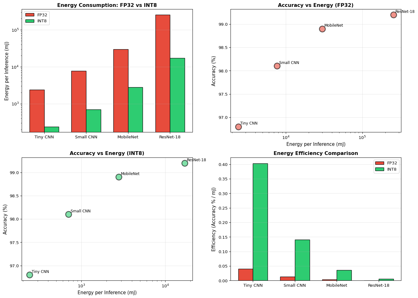
Example 4: Energy per Inference Analysis
Code
import numpy as np
import matplotlib.pyplot as plt
# Model characteristics
models = {
'Tiny CNN': {
'params': 8_000,
'macs': 200_000,
'accuracy': 96.8,
'latency_ms_fp32': 12,
'latency_ms_int8': 4,
'power_mW_fp32': 200,
'power_mW_int8': 60,
},
'Small CNN': {
'params': 32_000,
'macs': 800_000,
'accuracy': 98.1,
'latency_ms_fp32': 35,
'latency_ms_int8': 10,
'power_mW_fp32': 220,
'power_mW_int8': 70,
},
'MobileNet': {
'params': 125_000,
'macs': 3_000_000,
'accuracy': 98.9,
'latency_ms_fp32': 120,
'latency_ms_int8': 35,
'power_mW_fp32': 250,
'power_mW_int8': 80,
},
'ResNet-18': {
'params': 11_000_000,
'macs': 45_000_000,
'accuracy': 99.2,
'latency_ms_fp32': 850,
'latency_ms_int8': 180,
'power_mW_fp32': 300,
'power_mW_int8': 95,
},
}
# Calculate energy per inference
for model_name, specs in models.items():
# Energy (mJ) = Power (mW) × Time (ms)
specs['energy_mJ_fp32'] = specs['power_mW_fp32'] * specs['latency_ms_fp32']
specs['energy_mJ_int8'] = specs['power_mW_int8'] * specs['latency_ms_int8']
# Efficiency = Accuracy / Energy
specs['efficiency_fp32'] = specs['accuracy'] / specs['energy_mJ_fp32']
specs['efficiency_int8'] = specs['accuracy'] / specs['energy_mJ_int8']
# Visualization
fig, ((ax1, ax2), (ax3, ax4)) = plt.subplots(2, 2, figsize=(14, 10))
model_names = list(models.keys())
colors_fp32 = '#e74c3c'
colors_int8 = '#2ecc71'
# Plot 1: Energy per inference
energy_fp32 = [models[m]['energy_mJ_fp32'] for m in model_names]
energy_int8 = [models[m]['energy_mJ_int8'] for m in model_names]
x = np.arange(len(model_names))
width = 0.35
bars1 = ax1.bar(x - width/2, energy_fp32, width, label='FP32',
color=colors_fp32, edgecolor='black')
bars2 = ax1.bar(x + width/2, energy_int8, width, label='INT8',
color=colors_int8, edgecolor='black')
ax1.set_ylabel('Energy per Inference (mJ)', fontsize=11)
ax1.set_title('Energy Consumption: FP32 vs INT8', fontsize=12, fontweight='bold')
ax1.set_xticks(x)
ax1.set_xticklabels(model_names)
ax1.legend()
ax1.set_yscale('log')
ax1.grid(True, alpha=0.3, axis='y')
# Plot 2: Accuracy vs Energy (FP32)
ax2.scatter([models[m]['energy_mJ_fp32'] for m in model_names],
[models[m]['accuracy'] for m in model_names],
s=200, c=colors_fp32, alpha=0.6, edgecolors='black', linewidth=2)
for m in model_names:
ax2.annotate(m, (models[m]['energy_mJ_fp32'], models[m]['accuracy']),
xytext=(5, 5), textcoords='offset points', fontsize=9)
ax2.set_xlabel('Energy per Inference (mJ)', fontsize=11)
ax2.set_ylabel('Accuracy (%)', fontsize=11)
ax2.set_title('Accuracy vs Energy (FP32)', fontsize=12, fontweight='bold')
ax2.set_xscale('log')
ax2.grid(True, alpha=0.3)
# Plot 3: Accuracy vs Energy (INT8)
ax3.scatter([models[m]['energy_mJ_int8'] for m in model_names],
[models[m]['accuracy'] for m in model_names],
s=200, c=colors_int8, alpha=0.6, edgecolors='black', linewidth=2)
for m in model_names:
ax3.annotate(m, (models[m]['energy_mJ_int8'], models[m]['accuracy']),
xytext=(5, 5), textcoords='offset points', fontsize=9)
ax3.set_xlabel('Energy per Inference (mJ)', fontsize=11)
ax3.set_ylabel('Accuracy (%)', fontsize=11)
ax3.set_title('Accuracy vs Energy (INT8)', fontsize=12, fontweight='bold')
ax3.set_xscale('log')
ax3.grid(True, alpha=0.3)
# Plot 4: Efficiency comparison
efficiency_fp32 = [models[m]['efficiency_fp32'] for m in model_names]
efficiency_int8 = [models[m]['efficiency_int8'] for m in model_names]
bars1 = ax4.bar(x - width/2, efficiency_fp32, width, label='FP32',
color=colors_fp32, edgecolor='black')
bars2 = ax4.bar(x + width/2, efficiency_int8, width, label='INT8',
color=colors_int8, edgecolor='black')
ax4.set_ylabel('Efficiency (Accuracy % / mJ)', fontsize=11)
ax4.set_title('Energy Efficiency Comparison', fontsize=12, fontweight='bold')
ax4.set_xticks(x)
ax4.set_xticklabels(model_names)
ax4.legend()
ax4.grid(True, alpha=0.3, axis='y')
plt.tight_layout()
plt.show()
# Print detailed analysis
print("Energy per Inference Analysis")
print("="*80)
for model_name, specs in models.items():
print(f"\n{model_name}:")
print(f" Parameters: {specs['params']:,}")
print(f" MACs: {specs['macs']:,}")
print(f" Accuracy: {specs['accuracy']:.1f}%")
print(f"\n FP32:")
print(f" Latency: {specs['latency_ms_fp32']:.0f} ms")
print(f" Power: {specs['power_mW_fp32']:.0f} mW")
print(f" Energy: {specs['energy_mJ_fp32']:.1f} mJ")
print(f" Efficiency: {specs['efficiency_fp32']:.3f} (acc%/mJ)")
print(f"\n INT8:")
print(f" Latency: {specs['latency_ms_int8']:.0f} ms")
print(f" Power: {specs['power_mW_int8']:.0f} mW")
print(f" Energy: {specs['energy_mJ_int8']:.1f} mJ")
print(f" Efficiency: {specs['efficiency_int8']:.3f} (acc%/mJ)")
# Calculate speedup and energy savings
speedup = specs['latency_ms_fp32'] / specs['latency_ms_int8']
energy_savings = (1 - specs['energy_mJ_int8'] / specs['energy_mJ_fp32']) * 100
efficiency_gain = (specs['efficiency_int8'] / specs['efficiency_fp32'] - 1) * 100
print(f"\n INT8 vs FP32:")
print(f" Speedup: {speedup:.1f}×")
print(f" Energy savings: {energy_savings:.1f}%")
print(f" Efficiency gain: {efficiency_gain:.1f}%")
# Calculate inferences per battery charge
battery_mWh = 2500 * 3.7 # 2500 mAh @ 3.7V
print("\n" + "="*80)
print(f"Inferences per Battery Charge (2500 mAh @ 3.7V = {battery_mWh:.0f} mWh):")
print("="*80)
for model_name in model_names:
inferences_fp32 = battery_mWh / models[model_name]['energy_mJ_fp32']
inferences_int8 = battery_mWh / models[model_name]['energy_mJ_int8']
print(f"\n{model_name}:")
print(f" FP32: {inferences_fp32:,.0f} inferences")
print(f" INT8: {inferences_int8:,.0f} inferences ({inferences_int8/inferences_fp32:.1f}× more)")
print("\n" + "="*80)
print("Recommendation: For battery-powered edge devices,")
print("optimize for 'Accuracy per millijoule' rather than raw accuracy!")
Energy per Inference Analysis
================================================================================
Tiny CNN:
Parameters: 8,000
MACs: 200,000
Accuracy: 96.8%
FP32:
Latency: 12 ms
Power: 200 mW
Energy: 2400.0 mJ
Efficiency: 0.040 (acc%/mJ)
INT8:
Latency: 4 ms
Power: 60 mW
Energy: 240.0 mJ
Efficiency: 0.403 (acc%/mJ)
INT8 vs FP32:
Speedup: 3.0×
Energy savings: 90.0%
Efficiency gain: 900.0%
Small CNN:
Parameters: 32,000
MACs: 800,000
Accuracy: 98.1%
FP32:
Latency: 35 ms
Power: 220 mW
Energy: 7700.0 mJ
Efficiency: 0.013 (acc%/mJ)
INT8:
Latency: 10 ms
Power: 70 mW
Energy: 700.0 mJ
Efficiency: 0.140 (acc%/mJ)
INT8 vs FP32:
Speedup: 3.5×
Energy savings: 90.9%
Efficiency gain: 1000.0%
MobileNet:
Parameters: 125,000
MACs: 3,000,000
Accuracy: 98.9%
FP32:
Latency: 120 ms
Power: 250 mW
Energy: 30000.0 mJ
Efficiency: 0.003 (acc%/mJ)
INT8:
Latency: 35 ms
Power: 80 mW
Energy: 2800.0 mJ
Efficiency: 0.035 (acc%/mJ)
INT8 vs FP32:
Speedup: 3.4×
Energy savings: 90.7%
Efficiency gain: 971.4%
ResNet-18:
Parameters: 11,000,000
MACs: 45,000,000
Accuracy: 99.2%
FP32:
Latency: 850 ms
Power: 300 mW
Energy: 255000.0 mJ
Efficiency: 0.000 (acc%/mJ)
INT8:
Latency: 180 ms
Power: 95 mW
Energy: 17100.0 mJ
Efficiency: 0.006 (acc%/mJ)
INT8 vs FP32:
Speedup: 4.7×
Energy savings: 93.3%
Efficiency gain: 1391.2%
================================================================================
Inferences per Battery Charge (2500 mAh @ 3.7V = 9250 mWh):
================================================================================
Tiny CNN:
FP32: 4 inferences
INT8: 39 inferences (10.0× more)
Small CNN:
FP32: 1 inferences
INT8: 13 inferences (11.0× more)
MobileNet:
FP32: 0 inferences
INT8: 3 inferences (10.7× more)
ResNet-18:
FP32: 0 inferences
INT8: 1 inferences (14.9× more)
================================================================================
Recommendation: For battery-powered edge devices,
optimize for 'Accuracy per millijoule' rather than raw accuracy!
